TOKİ onlarca daireyi satışa çıkaracak
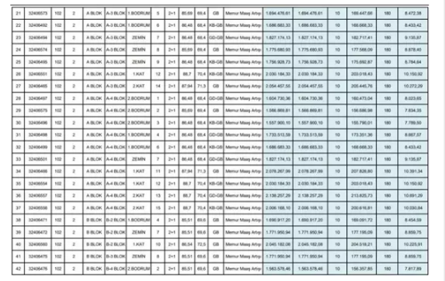
TOKİ tarafından 118 konut ve 2 dükkanlı ticaret merkezi kapsamında stokta bulunan 43 daire satışa çıkarılacak. Söz konusu daireler arasında en uygunu; 155 bin 790 TL peşinat, 180 ay vade ve 7 bin 789 TL taksit ile alıcısını bekliyor.
Toplu Konut İdaresi Başkanlığı (TOKİ), arsa ve arazilerin yanı sıra Türkiye'nin hemen hemen her kentinde daire satışları da gerçekleştiriyor.
Son olarak TOKİ tarafından yeni projeler adeta ardı ardına sıralandı. Açıklanan projeler çerçevesinde, 2+1 ile 3+1 dairelerin satışları yapılacak.
Satış listesinde yer alan en uygun konuta peşinat ve aylık 7 bin 789,50 TL taksitten başlayan fiyatlarla sahip olunabilecek.
TUNCELİ'DE 54 DAİRE SATIŞA ÇIKARILACAK
TOKİ; Tunceli ve Mazgirt'te 118 adet konut ve 2 dükkanlı ticaret merkezi kapsamında, stokta bulunan 43 adet dairenin satışa çıkartılacağını açıkladı.
TOKİ tarafından Tunceli'de satışa çıkarılacak konutlar arasında en uygun dairenin; 155 bin 790,01 TL peşinat, 180 ay vade ve 7 bin 789,50 TL taksitten başlayan fiyatlarla alıcısını beklediği görüldü.
Ayrıca başvuru tarihleri, 27 Kasım 2024 - 03 Aralık 2024 olarak duyuruldu.

