08 Şub 2022 22:21
Son Güncelleme: 09 Şub 2022 09:42
SMA hastalığının tedavisinde flaş gelişme! Resmi Gazete'de yayımlandı
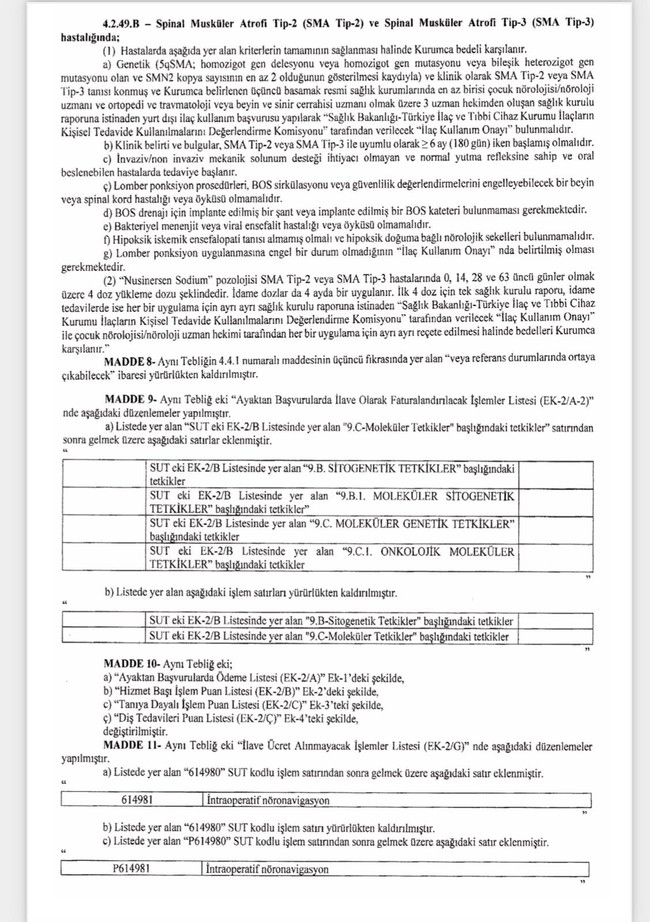
Resmi Gazete'de yayımlanan bilgiye göre, SMA Tip-2 ve SMA Tip-3 hastalığında, kriterlerin sağlandığı takdirde, tedavide kullanılan ilaçları devlet ödeyecek.
Resmi Gazete’de yayımlanan genelgeye göre SMA tip 2 ve SMA tip 3 hastalığında “Sağlık Bakanlığı Türkiye İlaç ve Tıbbi Cihaz Kurumu İlaçların Kişisel Tedavide Kullanılmalarını Değerlendirme Komisyonu” tarafından “İlaç Kullanım Onayı” verilen ilaçların bedeli SGK tarafından karşılanacak.
İlaç tedavisinin devlet tarafından karşılanacağının aktarıldığı ilgili maddede ise şu ifadelere yer verildi:
